CAS No.:
首 页
公司简介
科研合作
质量管理
新闻中心
产品展示
人力资源
合作工厂
联系方式
在线订单
ENGLISH
4-甲基噻唑-5-甲醛|宁波台康化工有限公司|1-(2,3-二氯苯基)哌嗪盐酸盐|1-(3-氯苯基)哌嗪盐酸盐|1-苯基哌嗪盐酸盐|4-甲基噻唑-5-甲醛 CAS NO. 82294-70-0|头孢布烯侧链 CAS NO.115065-79-7
产品分类
原料药
中间体
染料中间体
阻燃剂
其他化学品
CAS No.:
中间体
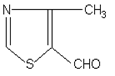
4-甲基噻唑-5-甲醛
Cas No.:
82294-70-0
Usage/STANDARD:
Cefditoren
化学名:4-甲基-5-甲酰基噻唑
简称:甲基噻唑醛
分子式:C
5
H
5
NOS
分子量:127.16
CAS号:82294-70-0
结构式:
用途:头孢妥仑中间体
宁波台康化工有限公司
版权所有(C)2011 网络支持
中国化工网
全球化工网
生意宝
Copyright(C)2011,
NINGBO TAIKANG CHEMICAL CO.,LTD..
All Rights Reserved. Supported by
ChemNet
ChinaChemNet
Toocle